티스토리 뷰
출처 : https://wikidocs.net/22886
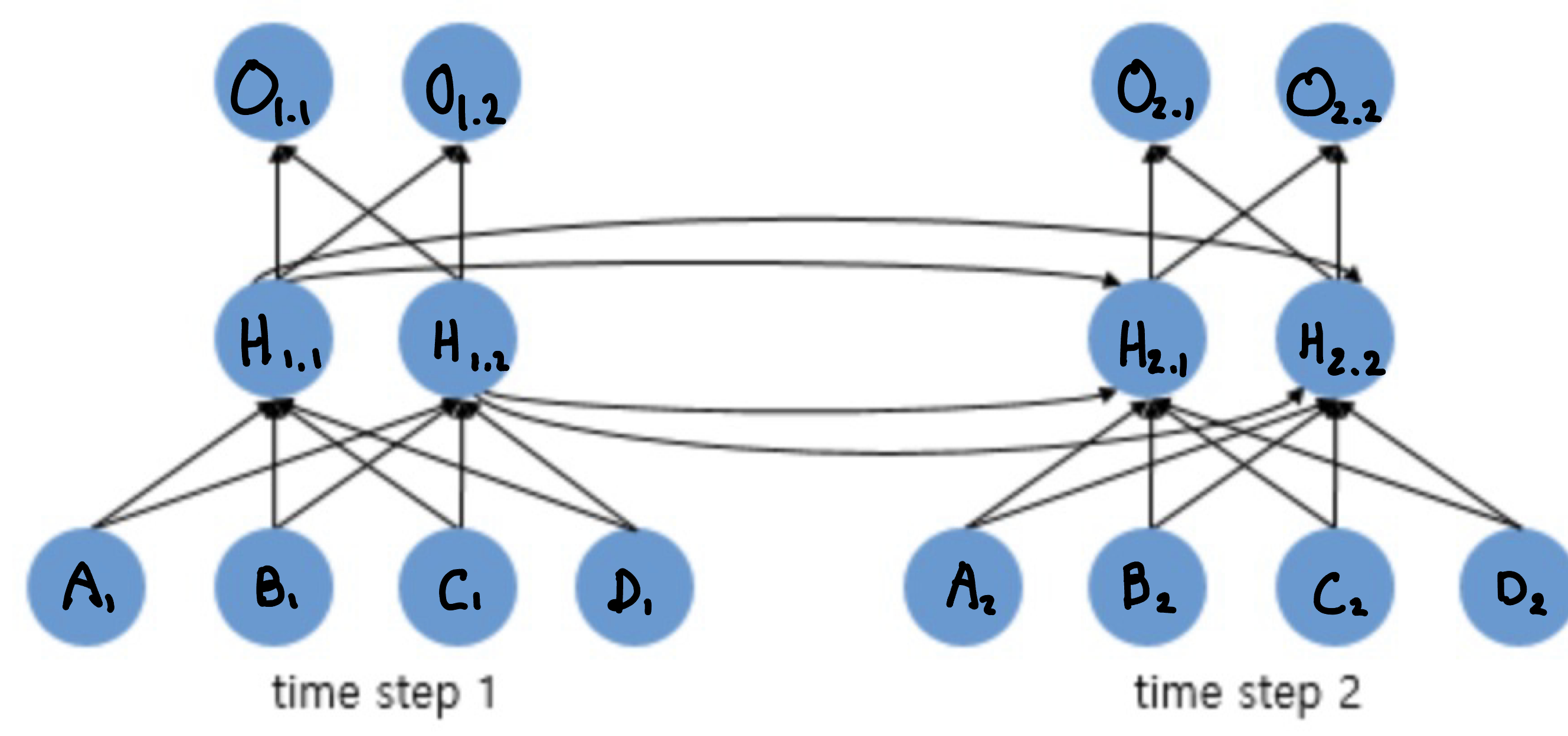
RNN은 hidden layer에서 활성화 함수를 통해 나온 결과값을 output layer로 보내면서, 다시 hidden layer에도 보내 다음 계산의 입력으로 사용한다.

cell은 이전의 값을 기억하는 역할을 수행하기도 한다.
이전 타임 스텝에서 나온 결과값을 기억하고 있다가 해당 타임 스텝의 입력으로 사용한다.

위 그림은 입력 벡터의 차원이 4, hidden state가 2, output이 2인 상태를 시각화한 것이다.

RNN은 입력과 출력의 길이를 다르게 설정할 수 있다.
one-to-many는 하나의 입력으로 여러개의 output을 낼 수 있다. 이는 하나의 이미지 입력에 대해 다양한 이미지의 제목을 출력하는 경우 등이 있다.
many-to-one은 단어 시퀀스를 입력했을 때 그 결과가 긍정인지 부정인지, classficiation과 detection에 사용된다.
many-to-many는 한글 단어 시퀀스를 입력하면 영어 단어 시퀀스를 출력하는 번역기, 개체명 인식 등에 사용된다.
'머신러닝 > 딥러닝' 카테고리의 다른 글
| YOLOv5 / 이미지 객체 인식 (2) | 2025.08.05 |
|---|---|
| AI / Multi-modal에 관하여 (1) (0) | 2025.02.19 |
| 머신러닝, 딥러닝 / 이상탐지(Anomaly Detection) (0) | 2023.03.13 |
| MLP로 텍스트 분류 (0) | 2022.09.20 |
| 케라스 훑어보기 (1) | 2022.09.16 |
공지사항
최근에 올라온 글
최근에 달린 댓글
- Total
- Today
- Yesterday
링크
TAG
- many-to-many
- 딥러닝
- related work
- AE
- 로지스틱회귀
- one-to-many
- Ethernet
- 논문 잘 쓰는법
- many-to-one
- 머신러닝
- 단순선형회귀
- PCA
- SVM
- cuckoo
- HTML
- Python
- AVTP
- 회귀
- porks
- automotive ethernet
- automotive
- 논문 작성
- AVB
- 케라스
- 차량 네트워크
- problem statement
- SOME/IP
- CAN-FD
- 차량용 이더넷
- 이상탐지
| 일 | 월 | 화 | 수 | 목 | 금 | 토 |
|---|---|---|---|---|---|---|
| 1 | 2 | 3 | 4 | 5 | 6 | 7 |
| 8 | 9 | 10 | 11 | 12 | 13 | 14 |
| 15 | 16 | 17 | 18 | 19 | 20 | 21 |
| 22 | 23 | 24 | 25 | 26 | 27 | 28 |
글 보관함